684. Redundant Connection
In this problem, a tree is an undirected graph that is connected and has no cycles.
The given input is a graph that started as a tree with N nodes (with distinct values 1, 2, ..., N), with one additional edge added. The added edge has two different vertices chosen from 1 to N, and was not an edge that already existed.
The resulting graph is given as a 2D-array of edges. Each element of edges is a pair [u, v] with u < v, that represents an undirected edge connecting nodes u and v.
Return an edge that can be removed so that the resulting graph is a tree of N nodes. If there are multiple answers, return the answer that occurs last in the given 2D-array. The answer edge [u, v] should be in the same format, with u < v.
Example 1
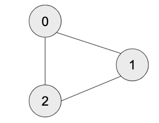
Input: [[1,2], [1,3], [2,3]]
Output: [2,3]
Explanation: The given undirected graph will be like this:
1
/ \
2 - 3
Example 2
Input: [[1,2], [2,3], [3,4], [1,4], [1,5]]
Output: [1,4]
Explanation: The given undirected graph will be like this:
5 - 1 - 2
| |
4 - 3
Note:
The size of the input 2D-array will be between 3 and 1000.
Every integer represented in the 2D-array will be between 1 and N, where N is the size of the input array.
Coding!
Detect Cycle in an Undirected Graph Set 1
전체코드는 684-1, 684-2에서 확인할 수 있습니다.
DSU (Disjoint Set Union) 두 가지 메소드를 가지고 있습니다.
- find(node:): 두 요소가 동일한 하위 집합에 있는지 확인하는 데 사용할 수 있습니다. (부모가 같은지 찾음)
- union(node:, node:): 두 개의 하위 집합을 단일 하위 집합으로 결합 (부모가 같다면 같은 부모로 연결합니다.)
extension Array where Element == Int {
func findParent(parent: inout [Int], node: Int) -> Int {
if parent[node] == -1 {
return node
}
return findParent(parent: &parent, node: parent[node])
}
func union(parent: inout [Int], x: Int, y: Int) {
let xset = findParent(parent: &parent, node: x)
let yset = findParent(parent: &parent, node: y)
parent[xset] = yset
}
}
class Solution {
func findRedundantConnection(_ edges: [[Int]]) -> [Int] {
return findCyclic(edges)
}
func findCyclic(_ edges: [[Int]]) -> [Int] {
// Allocate memory for creating subsets
// Initialize all subsets as single element sets
var parent = Array(repeating: -1, count: edges.count + 1)
for (i, edge) in edges.enumerated() {
let x = edge.findParent(parent: &parent, node: edge[0])
let y = edge.findParent(parent: &parent, node: edge[1])
if x == y {
return edge
}
edge.union(parent: &parent, x: x, y: y)
}
return [-1, -1]
}
}
우리는 그래프가 순환하는지 찾아내야합니다.

1. Parent 서브셋을 생성하고 -1로 초기화 합니다.

1회전 (0, 1)


2회전 (1, 2)


3회전 (0, 2)
부모가 만약 -1 이었다면 Cycle 이 아니였을 것입니다.
그러나 X, Y 축이 부모가 모두 2를 가르키고 있기 때문에 Cycle 이 있다고 판단합니다.

Complexity analysis
Time complexity: ??? O(N) 잘모르겠음
Space complexity: O(N)
Running
Runtime: 32ms
Memory: 21MB
Log
====== 0 =======
edge: [0, 1]
x: [-1, -1, -1]
y: [-1, -1, -1]
x: 0, y: 1
union(parent:x:y:) xset: 0, yset: 1
after union: [1, -1, -1]
====== 1 =======
edge: [1, 2]
x: [1, -1, -1]
y: [1, -1, -1]
x: 1, y: 2
union(parent:x:y:) xset: 1, yset: 2
after union: [1, 2, -1]
====== 2 =======
edge: [0, 2]
findParent(parent:node:) found parent: 2
findParent(parent:node:) found parent: 2
x: [1, 2, -1]
y: [1, 2, -1]
x: 2, y: 2
Detect Cycle in an Undirected Graph Set 2
(Union By Rank and Path Compression)
전체코드는 684-1, 684-2에서 확인할 수 있습니다.
union() find() 의 최악 시간복잡도는 Linear O(N) 이 됩니다.
아래 그림은 최악 시나리오 예입니다.




Union by rank
O(N) -> O(Log n) 으로 최적화 시킬 수 있습니다.



Path Compression
Find()가 호출 될 때 트리를 Flattern 하도록 만듭니다.

Find(3) 을 호출하면 3을 9의 자식으로 만듭니다.

struct Subset {
var parent: Int
var rank: Int
}
extension Array where Element == Int {
func findParent(subsets: inout [Subset], i: Int) -> Int {
if subsets[i].parent != i {
// Path compression
subsets[i].parent = findParent(subsets: &subsets, i: subsets[i].parent)
}
return subsets[i].parent
}
func union(subsets: inout [Subset], x: Int, y: Int) {
let xroot = findParent(subsets: &subsets, i: x)
let yroot = findParent(subsets: &subsets, i: y)
// union-by-rank
if subsets[xroot].rank < subsets[yroot].rank {
subsets[xroot].parent = yroot
} else if subsets[xroot].rank > subsets[yroot].rank {
subsets[yroot].parent = xroot
} else {
subsets[yroot].parent = xroot
subsets[xroot].rank += 1
}
}
}
class Solution {
func findRedundantConnection(_ edges: [[Int]]) -> [Int] {
return findCyclic(edges)
}
func findCyclic(_ edges: [[Int]]) -> [Int] {
var subsets: [Subset] = []
(0...edges.count).forEach {
subsets.append(Subset(parent: $0, rank: 0))
}
for (i, edge) in edges.enumerated() {
let x = edge.findParent(subsets: &subsets, i: edge[0])
let y = edge.findParent(subsets: &subsets, i: edge[1])
if x == y {
return edge
}
edge.union(subsets: &subsets, x: x, y: y)
}
return [-1, -1]
}
}
Complexity analysis
Time complexity: O(N)
Space complexity: O(N)
Running
Runtime: 48ms
Memory: 21.2MB
마무리
'알고리즘' 카테고리의 다른 글
| DFS (Depth-First Search) BFS (Breadth-First Search) 개념 (0) | 2019.11.02 |
|---|---|
| [Swift] Leetcode 209. Minimum Size Subarray Sum (0) | 2019.10.26 |